40 tree diagram definition math
In probability theory, a tree diagram may be used to represent a probability space. Tree diagrams may represent a series of independent events or ... The tree diagram is complete, now let's calculate the overall probabilities. This is done by multiplying each probability along the "branches" of the tree. Here is how to do it for the "Sam, Yes" branch: (When we take the 0.6 chance of Sam being coach and include the 0.5 chance that Sam will let you be Goalkeeper we end up with an 0.3 chance.)
Study Histograms in Data with histogram calculator, concepts, examples, and solutions. Make your child a Math Thinker, the Cuemath way. Access FREE Histograms Interactive Worksheets!

Tree diagram definition math
04.11.2021 · The English language organizes speech into eight categories of words, known as parts of speech, based on their function in a sentence. Learn to define and … 17.07.2021 · The diagram below shows two trees, one of them is height-balanced and other is not. The second tree is not height-balanced because height of left subtree is 2 more than height of right subtree. Attention reader! Don’t stop learning now. Get hold of all the important DSA concepts with the DSA Self Paced Course at a student-friendly price and become industry ready. To complete your preparation ... 20.06.2019 · Examples and Observations "The underlying structure of a sentence or a phrase is sometimes called its phrase structure or phrase marker. . . .Phrase-structure rules provide us with the underlying syntactic structure of sentences we both produce and comprehend. . . . "There are different types of phrase-structure grammar.Context-free grammars contain only rules that are not specified …
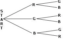
Tree diagram definition math. Tree diagram definition: A probability tree diagram represents all the possible outcomes of an event in an organized manner. It starts with a dot and extends into branches. The probability of each outcome is written on its branch. How to make a tree diagram. Let’s consider an example and draw a tree diagram for a single coin flip. Tt; tree diagram • a diagram shaped like a tree used to display sample space by using one branch for each possible outcome in a probability exercise. This simple probability tree diagram has two branches: one for each possible outcome heads or tails.Notice that the outcome is located at the end-point of a branch (this is where a tree diagram ends).. Also, notice that the probability of each outcome occurring is written as a decimal or a fraction on each branch.In this case, the probability for either outcome (flipping a coin and getting ... A tree diagram in math is a tool that helps calculate the number of possible outcomes of a problem and cites those potential outcomes in an organized way.
Ratios A ratio compares values.. A ratio says how much of one thing there is compared to another thing. There are 3 blue squares to 1 yellow square. Ratios can be shown in different ways: 27.05.2018 · Regression Analysis >. Y hat (written ŷ ) is the predicted value of y (the dependent variable) in a regression equation.It can also be considered to be the average value of the response variable.. The regression equation is just the equation which models the data set. Tree. A diagram of lines connecting "nodes", with paths that go outwards and do not loop back. It has many uses, such as factor trees (on the right) and probability trees (below). They look a little like an upside down tree (or a tree on its side) don't they? • The starting node is called the "root". • Each following node is a "child" (and ... Math AP®︎/College Statistics Probability Conditional probability. Conditional probability. ... Tree diagrams and conditional probability. This is the currently selected item. Next lesson. Independent versus dependent events and the multiplication rule. Sort by: Top Voted.
What is a Tree Diagram? A tree diagram is used in mathematics – more specifically, in probability theory – as a tool to help calculate and provide a visual representation of probabilities. The outcome of a certain event can be found at the end of each branch in the tree diagram. Figure 1. Tree Diagram for the Probabilities of Events A and B. A tree diagram is a useful way to organize the possible outcomes of a process or decision. Understand the full definition and see real-life examples of tree diagrams to reinforce learning. Every finite tree is isomorphic to the tree formed in this way from a farthest-point Voronoi diagram. Generalizations and variations. As implied by the definition, Voronoi cells can be defined for metrics other than Euclidean, such as the Mahalanobis distance or Manhattan distance. However, in these cases the boundaries of the Voronoi cells may ... A tree diagram is simply a way of representing a sequence of events. Tree diagrams are particularly useful in probability since they record all possible ...
Quality Glossary Definition: Tree diagram. Also called: systematic diagram, tree analysis, analytical tree, hierarchy diagram . A tree diagram is a new management planning tool that depicts the hierarchy of tasks and subtasks needed to complete and objective. The tree diagram starts with one item that branches into two or more, each of which ...
31.05.2018 · In the section we extend the idea of the chain rule to functions of several variables. In particular, we will see that there are multiple variants to the chain rule here all depending on how many variables our function is dependent on and how each of those variables can, in turn, be written in terms of different variables. We will also give a nice method for writing down the chain rule for ...
25.08.2021 · As a member, you'll also get unlimited access to over 84,000 lessons in math, English, science, history, and more. Plus, get practice tests, quizzes, and …
16.01.2020 · Tree Diagram: Used in probability to show all possible outcomes or combinations of an event. Triangle : A three-sided polygon. Trinomial : A polynomial with three terms.
20.06.2019 · Examples and Observations "The underlying structure of a sentence or a phrase is sometimes called its phrase structure or phrase marker. . . .Phrase-structure rules provide us with the underlying syntactic structure of sentences we both produce and comprehend. . . . "There are different types of phrase-structure grammar.Context-free grammars contain only rules that are not specified …
17.07.2021 · The diagram below shows two trees, one of them is height-balanced and other is not. The second tree is not height-balanced because height of left subtree is 2 more than height of right subtree. Attention reader! Don’t stop learning now. Get hold of all the important DSA concepts with the DSA Self Paced Course at a student-friendly price and become industry ready. To complete your preparation ...
04.11.2021 · The English language organizes speech into eight categories of words, known as parts of speech, based on their function in a sentence. Learn to define and …
What Is A Mathematically Rigorous Justification For Multiplying Edge Probabilities Of A Tree Diagram Mathematics Stack Exchange
0 Response to "40 tree diagram definition math"
Post a Comment